motbanner.jpg

Cooperative Q-learning techniques for distributed online power allocation in femtocell networks

In this paper, we address the problem of distributed interference management of femtocells that share the same frequency band with macrocells using distributed multi-agent Q-learning. We formulate and solve two problems representing two different Q-learning algorithms, namely, femto-based distributed and sub-carrier-based distributed power controls using Q-learning (FBDPC-Q and SBDPC-Q). FBDPC-Q is a multi-agent algorithm that works on a global basis, for example, deals with the aggregate macrocell and femtocell capacities. Its complexity increases exponentially with the number of sub-carriers

Software and Communications

A pricing-based cooperative spectrum sharing stackelberg game

In this paper, we study the problem of cooperative spectrum sharing among a primary user (PU) and multiple secondary users (SUs) under quality of service (QoS) constraints. The SUs network is controlled by the PU through a relay which gets a revenue for amplifying and forwarding the SUs' signals to their respective destinations. The relay charges each SU a different price depending on its received signal-to-interference-and-noise ratio (SINR). The primary relay controls the SUs network and maximize any desired PU utility function. The PU utility function represents its QoS, which is affected

Software and Communications

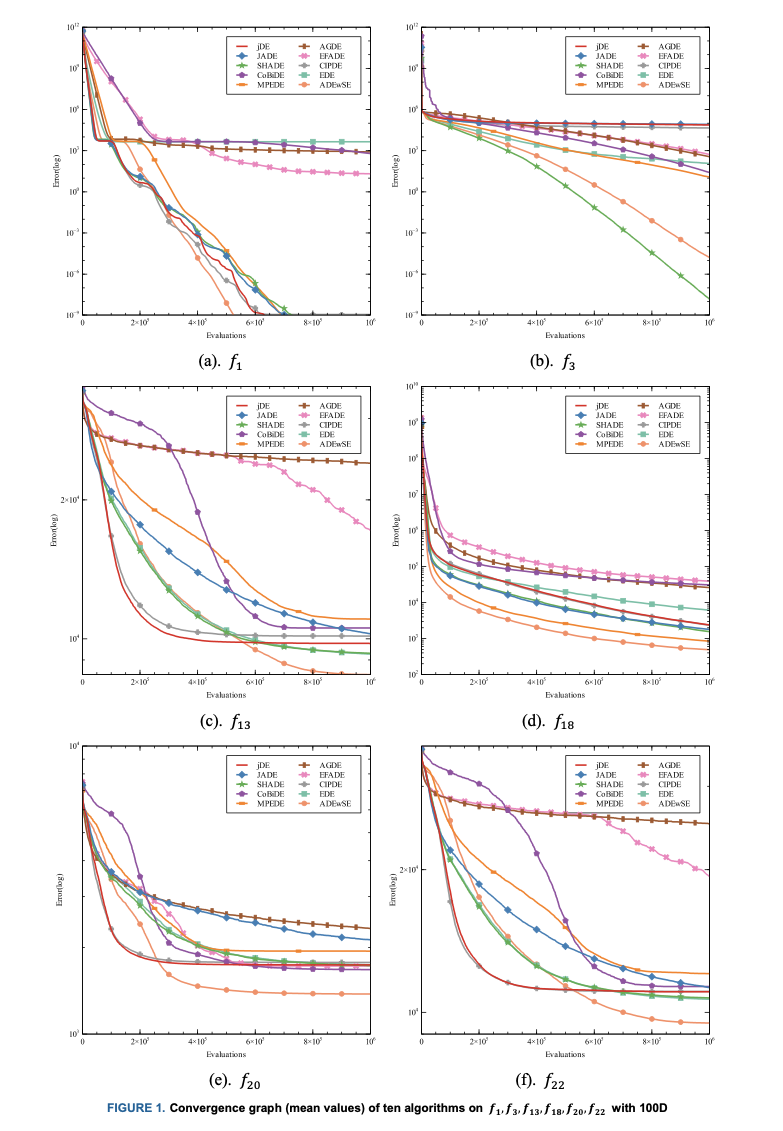
Adaptive differential evolution based on successful experience information

As a powerful optimization algorithm for solving nonlinear, complex and tough global optimization problems, differential evolution (DE) has been widely applied in various science and engineering fields. In this article, considering that the evolution direction of each individual is not fully exploited to guide the search process in most DE algorithms, a new DE variant ( named ADEwSE), which incorporates the successful experience of evolved individuals into classic ''current-to-pbest/1'' mutation strategy to reduce the randomness of search direction, is proposed. Moreover, crossover matrix

Software and Communications

Kalman filter-based tracking of a device-free passive entity in wireless environments

Device-free passive (DfP) localization has been recently proposed to allow localizing a stationary entity that neither carries a device nor participates actively in the localization process. In this paper, we present a Kalman filter-based system that enables tracking a continuously moving entity in a typical wireless environment rich in multipath. The concept behind DfP tracking is that the received signal strength at monitoring points in a wireless environment is influenced by any changes in the environment. These changes include the movement of an entity, such as a human being, within the

Software and Communications

Cost-Effective Data Transfer for Mobile Health Care

In this paper, we introduce the novel concept of cost-effective mobile health care which leverages the multiple wireless interfaces onboard most mobile phones today. First, we study the problem of uploading medical data using the 'least cost' radio interface. Toward this objective, we propose the wireless interface selection algorithm (WISA) which decides the wireless interface yielding the least cost, depending on the data size, modality, and quality of service (QoS). Second, we study using modeling and simulations, the problem of cost-effective medical advisory message dissemination (on the

Software and Communications

A Queueing Theory Approach to Small-Cell Assisted IoT Traffic Offloading

Massive numbers of Internet of Things (IoT) connections represent an essential component of the next-generation wireless networks. However, catering for such unprecedented numbers via cellular networks significantly increases the network congestion and degrades the achievable quality of service (QoS). Hence, traffic offloading has been proposed to alleviate the expected high growth rate in cellular networks. It exploits several network techniques such as WiFi networks, device to device (D2D) communication and heterogeneous networks (HetNets) to deliver user data primarily determined for the

Software and Communications

A queueing theory approach to traffic offloading in heterogeneous cellular networks

Future and current cellular networks encounter an unprecedented growth of mobile devices traffic, imposing various critical challenges that should be thoroughly addressed. Catering for such enormous amount of traffic demand via cellular networks significantly increases the network congestion and degrades the achievable quality of service (QoS). Thus, traffic offloading has been suggested to tackle the expected high growth rate in cellular networks and alleviate the foreseen performance degradation. Most of the previous works in the literature aim to increase the number of offloaded users, and

Software and Communications

A Queueing Theory Approach for Maximized Energy Efficiency Traffic Offloading

Traffic offloading is considered a promising solution to relieve the explosive congestion of future cellular networks. Existing works in the literature focus on increasing the number of offloaded users. Nevertheless, users' traffic load plays a critical role in having the ability to relay the data intended for the cellular users. In this paper, we consider the traffic offloading problem in a heterogeneous network (HetNet), with emphasis on the traffic load of each user in the network. Our objective is to maximize the total network energy efficiency (EE) while maintaining the system queues

Software and Communications

Achievable degrees of freedom of the K-user interference channel with partial cooperation

In this paper, we consider the K-user interference channel with partial cooperation, where a strict subset of the K users cooperate. For the K-user interference channel with cooperating subsets of length M, the outer bound of the total degrees of freedom is KM/(M+1). In this paper, we propose a signal space-based interference alignment scheme that proves the achievability of these degrees of freedom for the case K= M+2 The proposed scheme consists of a design for the transmit precoding matrices and a processing algorithm which we call the Successive Interference Alignment (SIA) algorithm. The

Software and Communications

On the enhancement of LDPC codes used in WiMAX

In this paper the low density party check (LDPC) codes used in the IEEE 802.16 standard physical layer are studied, and two novel techniques to enhance the performance of such codes are introduced. In the first technique, a novel parity check matrix for LDPC codes over GF(4) with the non-zero entries chosen to maximize the entropy is proposed, the parity check matrix is based on the binary parity check matrix used in the IEEE 802.16 standard. The proposed code is proven to outperform the binary code used in the IEEE 802.16 standard over both additive white Gaussian noise (AWGN) and Stanford

Software and Communications