motbanner.jpg

Experimental investigation of the dynamic characteristics of wrapped and wound fiber and metal/fiber reinforced composite pipes

This paper experimentally investigates the effect of the manufacturing method and metal reinforcement option on the natural frequency and damping behavior of five polymer and Fiber Reinforced Polymer (FRP) composite pipes. The five pipes are made of polymer, roll-wrapped woven glass FRP, metal-reinforced roll-wrapped woven glass FRP, filament-wound glass FRP, and metal reinforced filament-wound-up glass FRP. The composite pipes can replace conventional pipes in oil and gas industries and conventional metallic shafts in many applications. Logarithmic decay, logarithmic decrement, and random

Energy and Water
Mechanical Design

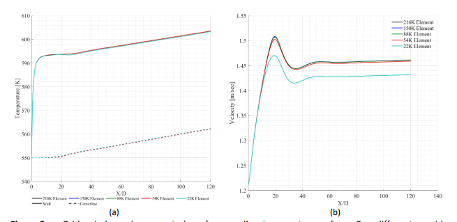
Turbulent Axisymmetric Non-Isothermal Flow of the Hitec Molten Salt with Temperature Dependent Properties: A Numerical Investigation

This study aims to investigate the Hitec molten salt's thermal-hydraulic behavior in a smooth round pipe under broad ranges of surface heat flux and Reynolds number (q = 104 - 105 W/m2, Re = 104 - 105). Mesh independent study was performed to ensure the robustness of the model to achieve accurate solutions. Presentation of temperature, pressure and thermophysical properties for multiple cases are presented and discussed. Temperature gradient decreases at high Reynolds number leading to small change in thermo-physical properties. While pressure seems not to be affected by the change in the

Energy and Water
Mechanical Design

Modeling complex flow induced by water waves propagation over submerged square obstacles

Submerged breakwaters are efficient structures used for shore protection. Many design features of these structures are captured upon modeling wave propagation over submerged square obstacles. The presence of separation vortices and large free surface deformations complicates the problem. A multiphase turbulent numerical model is developed using ANSYS commercial package. Careful domain discretization is done employing suitable mesh clustering to capture high gradients. Various numerical model parameters are provided, including grid size and time step. Special attention is directed towards

Energy and Water
Mechanical Design

Two-dimensional front-tracking model for film evaporation

To understand the physical process involved in film evaporation, a new numerical model is created using coupled quadratic finite element formulation of the conservation equations. The heat transport equation is solved in the three different phases (solid, liquid and vapor) while the Navier-Stokes equation are solved in the two fluids. The gradient discontinuity at the liquid vapor interface provides local value of the evaporative flux density that is directly linked to the interface velocity jump through mass conservation principle and used as boundary condition for two fluid flow computations

Energy and Water
Circuit Theory and Applications
Mechanical Design

EPS inclusion to reduce vertical stresses on shallow tunnels

Expanded polystyrene (EPS) has long been used to reduce stresses acting on buried structures. In this study, the efficiency of utilising EPS in reducing vertical stresses acting on cut-and-cover tunnels was investigated. To gauge this, short- and long-term shear strength parameters of EPS with densities of 25, 30, and 35 kg/m3 were determined. Interface friction of EPS with various materials was measured considering the use of geotextile as a protective cover for EPS. Laboratory testing included unconfined compression, creep strain based on time-temperature-stress superposition, and modified

Energy and Water
Mechanical Design

Characterization of Shear Strength and Compressibility of Diesel Contaminated Sand

Soil contamination with petroleum products and/or waste are a problem that can be detected nearby industrial areas and other amenities that include underground leaking tanks or pipelines. The negative effect of oil contamination on the soil properties is significant and can completely alter the strength as well as the serviceability limit states of the bearing stratum. In this study, Diesel was mixed with cohesionless soils using four different mixing percentages, starting with 5% up to 13.5% by weight, to cover a wide range of contamination ratios. The effects of contamination on the soil

Energy and Water
Mechanical Design

CHARACTERIZATION of CONCRETE MIXES for IRRIGATION CANALS

Recently, the construction of water structures and seepage reduction are critical issues. This importance was induced due to the required specifications for the desired type of concrete. Mechanical strength and permeability are the two major parameters in achieving the design mix efficiently. This study investigates the effect of different types of admixures on the performance of concrete. The performance of concrete was evaluated using the mechanical strength and permeability tests. The concrete mixes admixtures include A retarder (Sika R2004 type G), water proofing material (addicrete DM2)

Energy and Water
Mechanical Design

An Asymptotically Adaptive Successive Equilibrium Relaxation approach for the accelerated convergence of the Lattice Boltzmann Method

A new approach is proposed to accelerate the convergence of the Lattice Boltzmann method for steady-state problems. The proposed approach uses an adaptive relaxation frequency to accelerate the convergence by assigning more weight to selected parts of the standard algorithm corresponding to different phases of the convergence to the steady-state solution. The proposed algorithm is simple, straightforward and does not impose any additional computational cost to the standard algorithm. Different simulation cases are presented with the corresponding speedup. Finally, guidelines for the selection

Energy and Water
Mechanical Design

Analysis of Tapered Timoshenko and Euler-Bernoulli Beams on an Elastic Foundation with Moving Loads

This research studies the vibration analysis of Euler-Bernoulli and Timoshenko beams utilizing the differential quadrature method (DQM) which has wide applications in the field of basic vibration of different components, for example, pillars, plates, round and hollow shells, and tanks. The free vibration of uniform and nonuniform beams laying on elastic Pasternak foundation will be studied under three sets of boundary conditions, that is, mixing between being simply upheld and fixed while utilizing the DQM. The natural frequencies and deflection values were produced through the examination of

Energy and Water
Software and Communications
Mechanical Design

Optimum Scheduling the Electric Distribution Substations with a Case Study: An Integer Gaining-Sharing Knowledge-Based Metaheuristic Algorithm

This work is dedicated to the economic scheduling of the required electric stations in the upcoming 10-year long-term plan. The calculation of the required electric stations is carried out by estimating the yearly consumption of electricity over a long-time plan and then determining the required number of stations. The aim is to minimize the total establishing and operating costs of the stations based on a mathematical programming model with nonlinear objective function and integer decision variables. The introduced model is applied for a real practical case study to conclude the number of

Artificial Intelligence
Energy and Water
Software and Communications