motbanner.jpg

EGEPT: Monitoring middle east genomic data

EGEPT (Middle East GenBank Post) is a database that monitors submissions to the GenBank nucleotide database from Middle East countries. The data in EGEPT is browsable by country, institute, author, organism, and related publications. Statistics about the dataset is provided and charts that compare the Middle East countries to each other are automatically generated. EGEPT revealed that Qatar, Egypt, Oman, Tunisia, and Morocco are leading in terms of sequence submissions and related publications. However, the total submissions of all Arab countries is greatly lagging behind other Middle East

Artificial Intelligence

Active shape model with inter-profile modeling paradigm for cardiac right ventricle segmentation

In this work, a novel active shape model (ASM) paradigm is proposed to segment the right ventricle (RV) in cardiac magnetic resonance image sequences. The proposed paradigm includes modifications to two fundamental steps in the ASM algorithm. The first modification includes employing the 2D-Principal Component Analysis (PCA) to capture the inter-profile relations among shape’s neighboring landmarks and then model the inter-profile variations between the training set. The second modification is based on using a multi-stage searching algorithm to find the best profile match based on the best

Artificial Intelligence

A hybrid method for the exact planted (l, d) motif: Finding problem and its parallelization

Background: Given a set of DNA sequences s1,..., st, the (l, d) motif problem is to find an l-length motif sequence M, not necessary existing in any of the input sequences, such that for each sequence si, 1 ≤ i ≤ t, there is at least one subsequence differing with at most d mismatches from M. Many exact algorithms have been developed to solve the motif finding problem in the last three decades. However, the problem is still challenging and its solution is limited to small values of l and d. Results: In this paper we present a new efficient method to improve the performance of the exact

Artificial Intelligence

Enhanced target tracking in UAV imagery with P-N learning and structural constraints

This paper presents improved automatic moving target detection and tracking framework that is suitable for UAV imagery. The framework is comprised of motion compensation phase to detect moving targets from a moving camera, target state estimation with Kalman filter, and overlap-rate-based data association. Finally, P-N learning is used to maintain target appearance by utilizing novel structural constraints to select positive and negative samples, where data association decisions are used as positive (P) constraints. After learning target appearance, a cascaded classifier is employed to detect

Artificial Intelligence

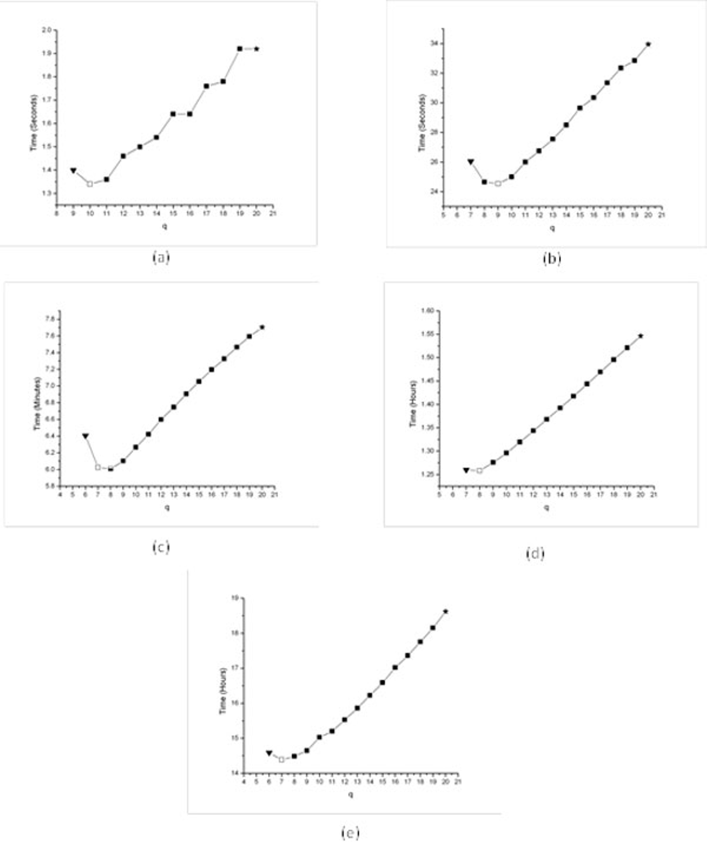
Using the sadakane compressed suffix tree to solve the all-pairs suffix-prefix problem

The all-pairs suffix-prefix matching problem is a basic problem in string processing. It has an application in the de novo genome assembly task, which is one of the major bioinformatics problems. Due to the large size of the input data, it is crucial to use fast and space efficient solutions. In this paper, we present a space-economical solution to this problem using the generalized Sadakane compressed suffix tree. Furthermore, we present a parallel algorithm to provide more speed for shared memory computers. Our sequential and parallel algorithms are optimized by exploiting features of the

Artificial Intelligence

Accurate estimation of the myocardium global function from reduced magnetic resonance image acquisitions

Evaluating the heart global function from magnetic resonance images is based on estimating a number of functional parameters such as the left ventricular (LV) volume, LV mass, ejection fraction, and stroke volume. Estimating these parameters requires accurate calculation of the volumes enclosed by the inner and outer surfaces of the LV chamber at the max contraction and relaxation states of the heart. Currently, this is achieved through acquisition and segmentation of a large number of short-axis (SAX) views of the LV, which is time-consuming and expensive. Reducing the number of acquisitions

Artificial Intelligence

English-Arabic statistical machine translation: State of the art

This paper presents state of the art of the statistical methods that enhance English to Arabic (En-Ar) Machine Translation (MT). First, the paper introduces a brief history of the machine translation by clarifying the obstacles it faced; as exploring the history shows that research can develop new ideas. Second, the paper discusses the Statistical Machine Translation (SMT) method as an effective state of the art in the MT field. Moreover, it presents the SMT pipeline in brief and explores the En-Ar MT enhancements that have been applied by processing both sides of the parallel corpus before

Artificial Intelligence

Accurate Prediction of Advanced Liver Fibrosis Using the Decision Tree Learning Algorithm in Chronic Hepatitis C Egyptian Patients

Background/Aim. Respectively with the prevalence of chronic hepatitis C in the world, using noninvasive methods as an alternative method in staging chronic liver diseases for avoiding the drawbacks of biopsy is significantly increasing. The aim of this study is to combine the serum biomarkers and clinical information to develop a classification model that can predict advanced liver fibrosis. Methods. 39,567 patients with chronic hepatitis C were included and randomly divided into two separate sets. Liver fibrosis was assessed via METAVIR score; patients were categorized as mild to moderate (F0

Artificial Intelligence

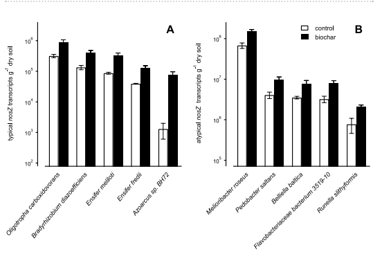
Soil biochar amendment affects the diversity of nosZ transcripts: Implications for N2O formation

Microbial nitrogen transformation processes such as denitrification represent major sources of the potent greenhouse gas nitrous oxide (N2O). Soil biochar amendment has been shown to significantly decrease N2O emissions in various soils. However, the effect of biochar on the structure and function of microbial communities that actively perform nitrogen redox transformations has not been studied in detail yet. To analyse the community composition of actively denitrifying and N2O-reducing microbial communities, we collected RNA samples at different time points from a soil microcosm experiment

Artificial Intelligence

Sequencing and assembly of the Egyptian buffalo genome

Water buffalo (Bubalus bubalis) is an important source of meat and milk in countries with relatively warm weather. Compared to the cattle genome, a little has been done to reveal its genome structure and genomic traits. This is due to the complications stemming from the large genome size, the complexity of the genome, and the high repetitive content. In this paper, we introduce a high-quality draft assembly of the Egyptian water buffalo genome. The Egyptian breed is used as a dual purpose animal (milk/meat). It is distinguished by its adaptability to the local environment, quality of feed

Artificial Intelligence